日日操天天操夜夜操Iwww.香蕉视频I亚洲在线成人精品I综合色爱I日韩在线免费视频I免费视频a

咪唑離子液體如何將CO2高效電還原為CO?

2024-10-11 10:42:22 sh默尼 70

隨著工業化的不斷發展,空氣中CO2的濃度不斷增加,在各種處理CO2濃度的方法中,電化學還原被認為是回收CO2的有效方法。離子液體(ILs)具有低揮發性、不易燃和電化學窗口高等特性,這使其成為電化學還原CO2過程中有前途的電解質。但是純離子液體粘度高,這會對電化學傳質過程產生影響。乙腈(AcN)的粘度低、電化學窗口寬且CO2溶解度高,已成為CO2電化學還原反應(CO2RR)中常用的溶劑。如果將離子液體AcN溶液混合形成混合電解質,有望能夠增強系統的傳質能力。


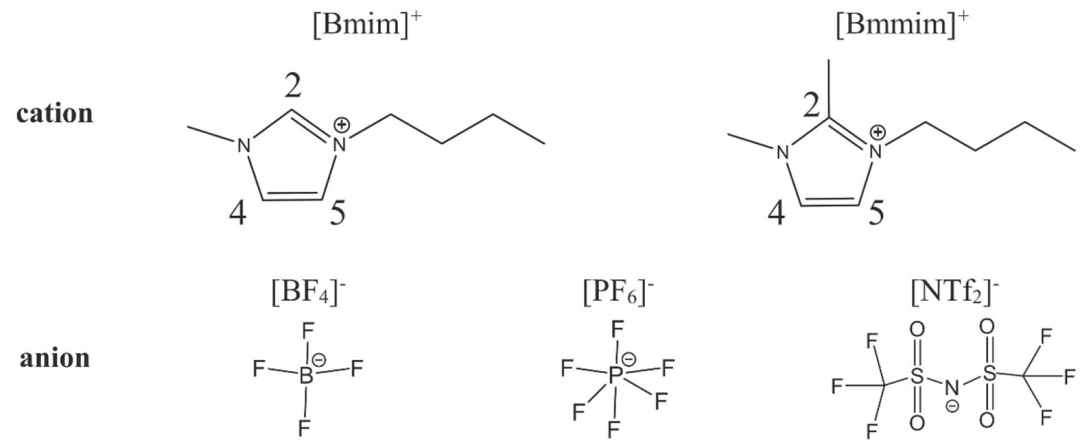
離子液體中,咪唑基離子液體(Imim-ILs)因其優異的電化學性能而備受關注。前人的研究表明,電極表面的陽離子物質與反應中間體相互作用改變了電化學雙層(EDL)的特性,因此在CO2RR中起重要作用。1-乙基-3-甲基咪唑鎓離子([Emim]+)能吸附在銀電極表面,形成吸附層。該吸附層可與CO2相互作用形成復合中間體,這些中間體的形成降低了?CO2-的能態,從而顯著降低CO2還原為CO的過電位。通過前人的研究發現,不同的Imim-ILsCO2RR中表現出不同的活性位點。密度泛函理論計算(DFT)證明,CO2與咪唑環上C2C4C5都能形成氫鍵,但CO2傾向于定位在咪唑環C4/C5-H附近,因為在C4-HC5-H位置形成的[EMIM-CO2]更穩定。

基于此,來自華中科技大學胡輝黃浩團隊使用兩種典型的Imim-ILs,即[Bmmim]+[Bmim]+作為研究對象,研究了咪唑鎓陽離子的結構差異對體系還原性能的影響。此外,還分析了咪唑鎓陽離子與?CO2-生成中間體的結合模式,提出了[Bmmim]+[Bmim]+Imim-ILs/AcN溶液中促進CO2電化學還原為CO的機理。發現Imim-ILsCO2RR中表現出優異的選擇性。量子化學計算表明,咪唑環通過中等強度的氫鍵與?CO2-形成中間體,有利于在電極界面處與?CO2-結合接受電子,進一步還原CO

640 (3).png

默尼化工科技(上海)有限公司

致力于離子液體(ILs)研發生產、應用推廣和全球銷售,擁有自主知識產權生產技術,產品質量和一致性因此得到保障,Tel:021-38228895



標簽:   離子液體 離子液體應用 離子液體定義